Your mind is a powerful tool – a tool that can dictate success (or failure) without you even realizing it. You might think that the pursuit of a goal such as weight loss, fitness, or simply health starts when you make your first action such as going to the gym or signing up with a coach. However, it actually isn’t. By the time you make that first action, the pursuit (or lack thereof) towards your goal has already started… In Your Mind!
Now, this is not an email to convince you that any success in life is mind over matter, or that you have to be mentally tough at all times to be successful. Or that it does not matter what you do as long as you are thinking positively. This just isn’t true, or in a lot of cases, even possible.
Along your health and fitness journey you will have to put in work. There will always be ups and downs. You will have great weeks where you are mentally into it all and then weeks where your mind wants to be anywhere else but in the gym, on that run, or even prepping food for the week. So, lets just put that hardcore, mental toughness, pain is only temporary stuff off to the side.
However, what I do hope to show is that your overall mindset toward your goals, your optimism that you can be successful, and your true belief that if you put in the work you can be successful matters… A LOT!
THE TREATMENT EFFECT

How we respond to things such as diets, exercise programs, behavior modifications are a result of not only the treatment itself (i.e., the diet or the exercise) but also the psychosocial and physiological assumptions and factors associated with that treatment.
Don’t believe me? Let's take a look below.
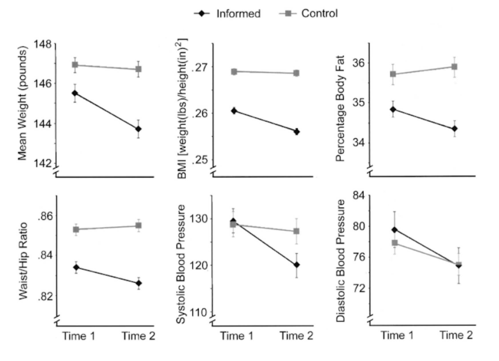
In this study, subjects were employees that had physically active jobs. On a daily basis they were walking, carrying objects, and rarely sitting, in other words, being physically active. At the start of the study, subjects were similar in both physiological and psychological variables.
To start the intervention period, one group was measured for various health outcomes and just told their employers wanted to examine employee health while the intervention group was measured for the same variables but also told that, since their jobs were so active, it was expected that over the course of a few months they would lose weight and improve health.
So in other words, the only difference between the groups at baseline was the fact that one group expected they should be losing weight and getting healthier and the other group did not expect anything.
Side note: The employees and employers were also asked to keep activity at work and outside of work the same over the course of the intervention
And what was found?

Following the intervention, the group who was informed that their work (i.e., their daily activity) would impact their health saw significant reductions in weight, BMI, and other health metrics while the control group saw no changes.
More simply stated, those who believed their activity would impact their health, saw an impact and those that didn’t saw no change. The power of the mind in full display!
At the End of the Day…
Now again, this is just one example. There are more like this one but also other examples suggesting that mindset might not matter as much as we think. And while treading through these waters is confusing, it is important to come back to the ultimate reason we are talking about this in the first place, to be successful.
So… before you decide to start a diet, join a gym, hire that coach, etc., make sure you remind yourself that you can and will be successful. That despite difficult situations and circumstances, you can have victories.
Whether a positive and optimistic mindset is the driver of your success or just one of the many reasons you stick to the plan, you trust your coach, and you ultimately are successful does not really matter. What matters is that you understand a positive (or negative) mindset can have important implications on your future success!
“The only limit of tomorrow will be our doubts of today. Therefore, let us move forward with active faith.”
– Franklin Delano Roosevelt
Need help optimizing your protocols to reach your health and fitness goals? Let us help by putting an expert in your corner to help you get there faster and maintain that progress for life! Learn more about our online health coaching by clicking here!
REFERENCES
- Crum, A. J., & Langer, E. J. (2007). Mind-set matters: Exercise and the placebo effect. Psychological Science, 18(2), 165–171.
- Zion, S. R., & Crum, A. J. (2018). Mindsets matter: A new framework for harnessing the placebo effect in modern medicine. International Review of Neurobiology, 138, 137–160.
Ready to become the best version of yourself? The Fitness League app was built to give you a personalized approach to optimizing your health on your terms. We'll set you up with the most effective habits, training programs, and protocols to reach your goals.. And it doesn't require hours in the gym.
Try it free for 7 days!
.png)
